基本情報技術者過去問平成17年 午後 問2最終更新日 2005/11/27
|
| Tomのネットワーク勉強ノート |
| |
| |
| |
問2 オーバレイに関する次の記述を読んで,設間1,2に答えよ。
近年,組込み(embedded)システムに利用されるプログラムの規模拡大に伴い,
オーバレイが必要になってきている。オーバレイとは,プログラムを幾つかのオーバ
レイセグメント(以下,単にセグメントと呼ぶ)に分割しておき,OSがプログラム
の実行に必要なモジュールを含むセグメントだけを主記憶領域に読み込んで実行する
方法である。
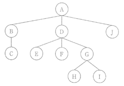
(1)10個のモジュールA〜 Jで構成されるプログラムがあり,各モジュールは図1
に示す呼出し構造になっている。例えば,モジュールGは二つのモジュールH及
びIを呼び出す。

図1 モジュールの呼出し構造
(2)このプログラムのモジュールの実行順序は,図2のとおりである。
A→ B→ C→ D→ E→ G→ H→ F→ G→ I→ J
↑
α
図2 モジュールの実行順序
(3)A〜Jの各モジュールの実行に必要な主記憶領域の大きさは,表のとおりである。
なお,セグメントの大きさは,セグメントを構成するモジュールの大きさを合計
したものになる。
表 モジュールの大きさ
| モジュール | A | B | C | D | E | F | G | H | I | J |
| 大きさ(Mバイト) | 10 | 8 | 6 | 5 | 6 | 4 | 6 | 2 | 3 | 15 |
設問1
次の記述中の【 】に入れる正しい答えを,解答群の中から選べ。
プログラムのオーバレイ構造と各セグメントを構成するモジュールを図3に示す。
図3は,モジュールDがモジュールAから呼び出されたとき,主記憶領域にセグメ
ントP0及びP2が読み込まれていることを表している。また,セグメントP1,P2及
びP3は,主記憶領域の同じ番地を先頭としてそれ以降に読み込まれることを表して
いる。

図3 オーバレイ構造とセグメント
このプログラムを実行したとき,プログラムの実行が終了するまでに,セグメント
はP0,P1,P2,P3の順に,計4回だけ主記憶領域に読み込まれる。図3のオーバレ
イ構造で実行するのに必要な主記憶領域は,【 】Mバイトである。
解答群
ア 24 イ 25 ウ 35 エ 36
オ 37 カ 38 キ 39 ク 40
設問2
次の記述中の【 】に入れる正しい答えを,解答群の中から選べ。
プログラムの実行時に利用する主記憶領域を減らすことが必要になったので,オー
バレイ構造及びセグメントの見直しを行って,図4と図5に示す二つの案を作成し
た。

図4 オーバレイ構造とセグメント案1

図5 オーバレイ構造とセグメント案2
図3 のオーバレイ構造に比べて, プログラムの実行時に利用する主記憶領域を,
案1では10Mバイト,案2では【 a 】Mバィト減らすことができる。
プログラムを実行したとき,図2中のαの位置にあるモジュールFの実行が終
するまでに主記憶領域にセグメントが読み込まれる回数は,案1では合計6回,案2
では合計【 b 】回である。
プログラムの実行が終了するまでに主記憶領域にセグメントが読み込まれる回数は,
図3のオーバレイ構造に比べて,案1では合計【 c 】回,案2では合計6回増える。
aに関する解答群
ア 10 イ 11 ウ 12
エ 13 オ 14 カ 15
b、cに関する解答群
ア 1 イ 2 ウ 3 エ 4 オ 5
エ 6 オ 7 カ 8 ケ 9 コ 10
| Tomのネットワーク勉強ノート |
| |
| |
| |